失重的魅力4¶
约 559 个字 2 张图片 预计阅读时间 2 分钟
对称性较高的配位化合物A可用作催化剂(其中金属元素的质量分数为24.88%,含有一种元素的多种同位素), 其易发生变质,生成化合物B,该反应的核心过程在地质学研究中具有一定的作用。B继续反应生成带正电的中间体C,其具有一定酸性,最终得到化合物D (其中金属元素的质量分数为25.12%)。将D置于水中,发现有部分物质不溶,同时在水相中得到了常用的试剂M。
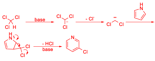
化合物D也可通过另一种方式得到,将另一可用作催化剂的E (其中 金属元素的质量分数为28.34%,含有一种元素的多种同位素)久置,经历类似上述生成D的过程生成电中性中间产物F。F与一种具有甜味的易挥发液体N在M的作用下发生反应,得到含卤素的中间产物X,而后在一定条件下催化脱去卤素并用氢取代,生成与D结构类似的G。N常被保存在密封的棕色瓶中,若被氧化将生成剧毒的气体,同时保存过程中加入适量的乙醇。G发生进一步反应得到D。
已知在生成化合物B、C的过程中均产生了物质P,在 使用后一种方法生成化合物D时产生了物质Q,物质P、Q不可共存。已知上述过程中涉及到的金属元素均属于同一周期。以下的题目中,要求准确表明化学组成,规范书写符号。
1-1 画出化合物A~G的结构。
1-2 写出化合物M、N的化学式.
答案
M: \(\ce{C5H5N}\); N: \(\ce{HCCl3}\)
1-3 指出保存N时,乙醇的作用。
答案
与有毒的光气反应,生成碳酸二乙酯。
1-4 解释为何P、Q不可共存。
答案
P为电子,Q为正电子,二者共存则会湮灭。
1-5 写出化合物F生成G过程中得到X的反应机理。

